• Предмет: Алгебра
  • Автор: sirgut243
  • Вопрос задан 2 года назад

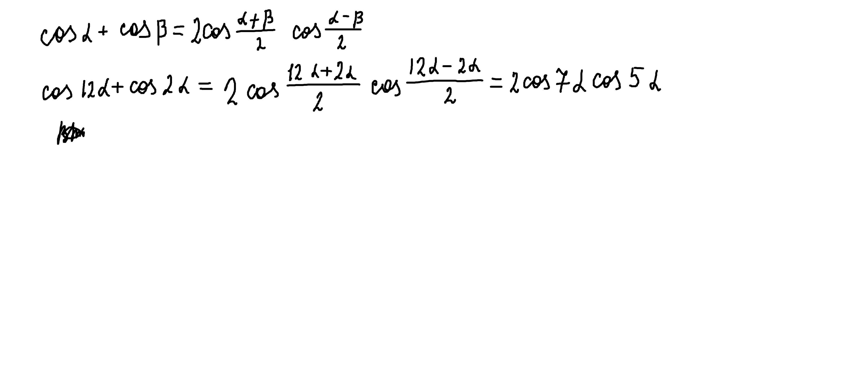
подайте у вигляді добутку вираз cos12a+cos2a

Ответы

Ответ дал: parus77
1

Ответ:

Объяснение:

формула и решение внизу

Приложения:
Вас заинтересует