• Предмет: Математика
  • Автор: Аноним
  • Вопрос задан 2 года назад

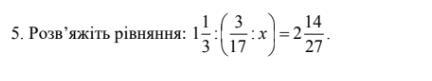
розв`яжіть рівняння 1 1\3 : (3\17 : х)=2 14\27 !!!СРОЧНО!!1

Приложения:

Ответы

Ответ дал: Vova22851
1

Ответ:   x= \frac{1}{3} \\x= 0.333

Вас заинтересует