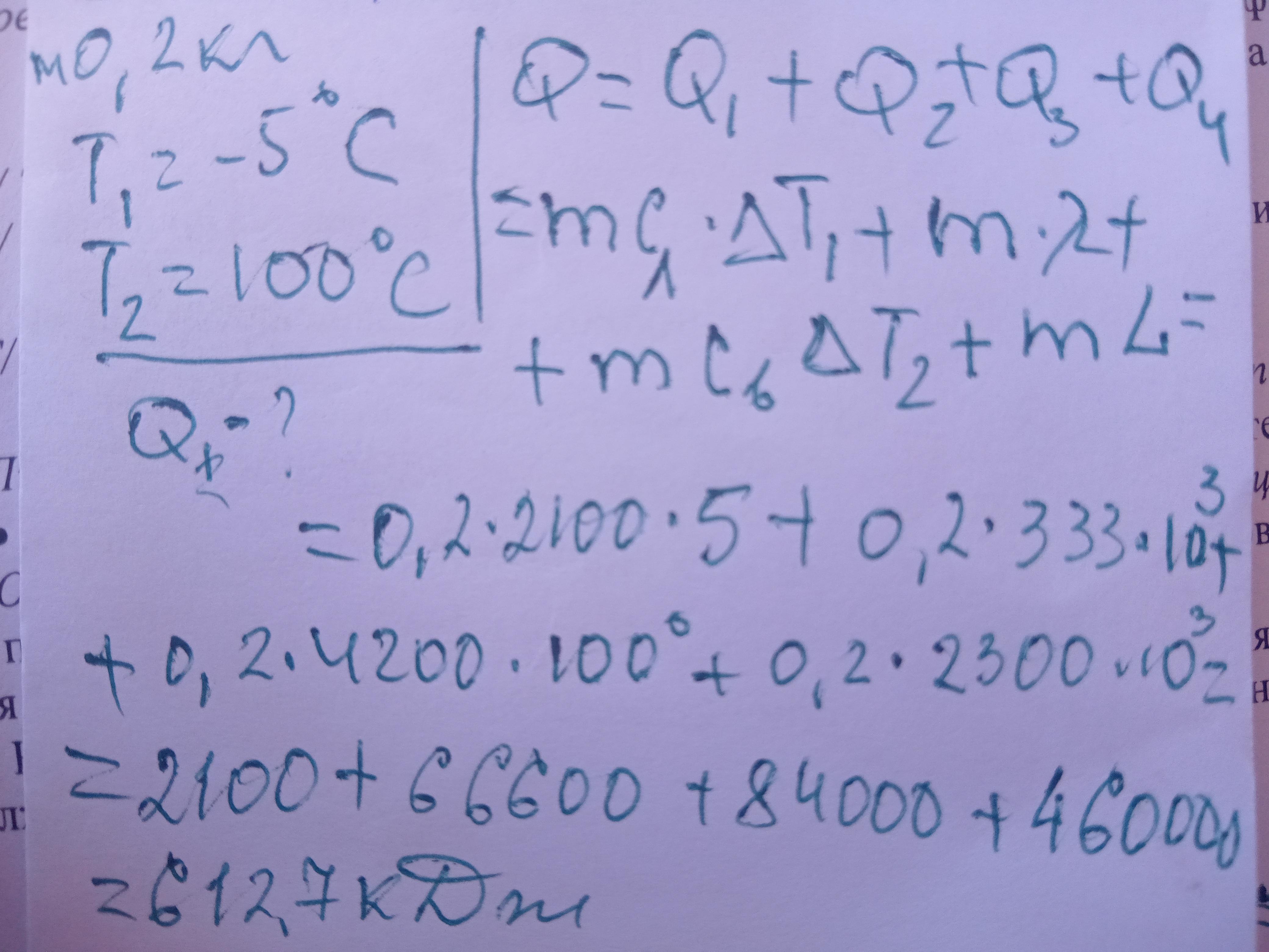
200 грам льоду при температурі -5 градусів перетворили на пару, яка кількість енергії витрачена.
Ответы
Ответ дал:
2
Ответ:
612,7 кДж
Объяснение:
Приложения:

Вас заинтересует
1 год назад
1 год назад
1 год назад
3 года назад
3 года назад
8 лет назад
8 лет назад