• Предмет: Математика
  • Автор: dashassss14
  • Вопрос задан 2 года назад

‼️ТЕРМІНОВО. Будь ласка з поясненням. Даю 70 балів, та найкращу відповідь

Приложения:

Ответы

Ответ дал: zloioz
1

Відповідь:

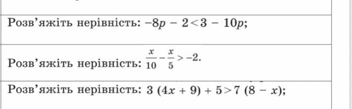
1) -8р - 2 < 3 - 10p

Переносимо доданки

-8р + 10р < 3+2

Зводимо подібні та обчислюємо

2р < 5

Ділимо обидві частини

р < \frac{5}{2}

2) \frac{x}{10}  - \frac{x}{5} &gt; -2

Множимо обидві частини

х - 2x > - 20

Зводимо подібні

- х > - 20

Змінюємо знаки

х < 20

3) 3(4x + 9) + 5 > 7(8- x)

Розкриваємо дужки

12х + 27 + 5 > 56 + 7х

Обчислюємо

12х + 32 > 56 + 7х

Переносимо доданки. (Все що з х в ліву частину, числа в праву частину)

12х - 7х > 56 - 32

Обчислюємо

5х > 24

Ділимо обидві частини на 5

х > \frac{24}{5}

Ответ дал: iramazurk
0

Пошаговое объяснение:

-8р - 2 < 3 - 10р

-8р + 10р < 3 + 2

2р < 5

р < 5 : 2

р < 2,5

р Є (-; 2,5)

х/10 - х/5 > -2 |* 10

х - 2х > -20

-х > -20

х < 20

х Є (-; 20)

3(4х + 9) + 5 > 7(8 - х)

12х + 27 + 5 > 56 - 7х

12х + 32 > 56 - 7х

12х + 7х > 56 - 32

19х > 24

х > 24 : 19

х > 24/19

х > 1 5/19

х Є (1 5/19; +)

Вас заинтересует