• Предмет: Алгебра
  • Автор: pzvonarev34
  • Вопрос задан 2 года назад

Допоможіть будь ласка , дуже потрібно "Визначений інтеграл та його застосування"
Винагорода - 50б. та подяка ​

Приложения:

Ответы

Ответ дал: natalyabryukhova
0

Ответ:

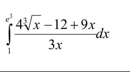
\displaystyle        \int\limits^{e^3}_1 {\frac{4\sqrt[3]{x} -12+9x}{3x} } \, dx=3e^3+4e-19

Объяснение:

Вычислить интеграл:

\displaystyle        \int\limits^{e^3}_1 {\frac{4\sqrt[3]{x} -12+9x}{3x} } \, dx

Преобразуем подинтегральное выражение:

\displaystyle        \int\limits^{e^3}_1 {\frac{4\sqrt[3]{x} -12+9x}{3x} } \, dx=       \int\limits^{e^3}_1 {\left(\frac{4x^{\frac{1}{3} }}{3 x}- \frac{12}{3x}+\frac{9x}{3x}\right)  } \, dx=\\\\=\int\limits^{e^3}_1 {\left(\frac{4}{3}x^{-\frac{2}{3}}-\frac{4}{x}+3\right)  }} \, dx

Используем формулы:

\boxed {\displaystyle \bf     \int\limits{x^n} \, dx =\frac{x^{n+1}}{n+1} +C;\;\;\;\;\;\int\limits {\frac{1}{x} } \, dx=ln|x|+C;\;\;\;\;\;\int\limits {} \, dx =x+C }

  • Постоянный множитель выносится за знак интеграла.

Также нам понадобится формула Ньютона-Лейбница:

\boxed {\displaystyle \bf  \int\limits^b_a {f(x)} \, dx =F(x)\bigg|^b_a=F(b)-F(a) }

Вычислим интеграл:

\displaystyle       \int\limits^{e^3}_1 {\left(\frac{4}{3}x^{-\frac{2}{3}}-\frac{4}{x}+3\right)  }} \, dx=\left(\frac{4}{3}\cdot \frac{x^{\frac{1}{3}}\cdot3 }{1}  -4\cdot ln|x|+3x\right)\bigg|^{e^3}_1=\\\\=(4\sqrt[3]{x} -4ln|x|+3x)\bigg|^{e^3}_1=\\\\=4\sqrt[3]{e^3}-4ln|e^3|+3e^3-4\sqrt[3]{1}+4ln|1|-3\cdot1=\\ \\ =4e-4\cdot3+3e^3-4+0-3=3e^3+4e-19


kuvaevmaks: Добрый вечер. помогите мне пожалуйста с алгеброй, мне надо сегодня сдать, заранее спасибо
Вас заинтересует