• Предмет: Алгебра
  • Автор: anton200802
  • Вопрос задан 2 года назад

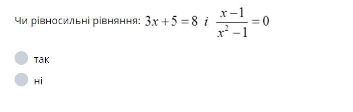
ХЕЛЛЛЛЛЛЛЛЛЛЛПУУУУУУУУУУУУУУУУУУУУУУУУУУУУУУУУУУУУ

Приложения:

Ответы

Ответ дал: dubenchukdenis
0

Ответ:

Так!!!!!

Объяснение:

Ответ дал: olzasgazizov751
0

Ответ:

нi

Объяснение:

она неправильно ответила

Вас заинтересует