• Предмет: Алгебра
  • Автор: Аноним
  • Вопрос задан 2 года назад

Допоможіть будь ласка

Приложения:

Ответы

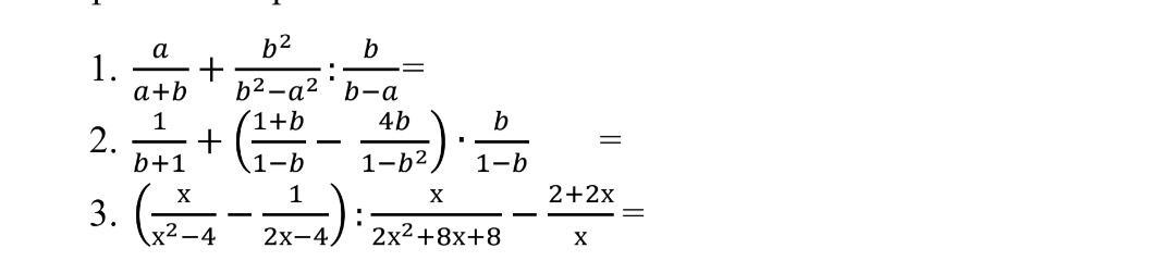
Ответ дал: MizoriesKun
1

Смотри......................

Приложения:
Ответ дал: Пеппер
0

Ответ:

на фото

Объяснение:

Приложения:
Вас заинтересует