• Предмет: Физика
  • Автор: FermerUA
  • Вопрос задан 2 года назад

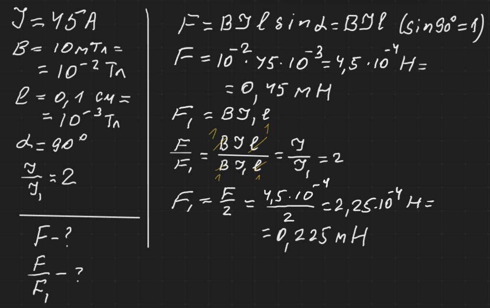
Провідник зі струмом 45 А розташований в однорідному магніт- ному полі з індукцією 10 мТл. Довжина активної частини провід- ника 0.1 см. Лiнi i я та струм взаємно перпендикулярнi. 1)1 З якою силою магнітне поле діє на провідник зі струмом? 2)2 Чому дорівнюватиме сила Ампера, якщо сила струму в провіднику зменшиться удвічі, а індук- - ція магнітного поля не змiниться?​

Ответы

Ответ дал: zybkov1950
1

Відповідь: 0,45 мН;     0,225 мН

Пояснення:

Приложения:
Вас заинтересует