• Предмет: Алгебра
  • Автор: ryakubova98
  • Вопрос задан 2 года назад

РЕШИТЕ ЛИНЕЙНОЕ УРАВНЕНИЕ:
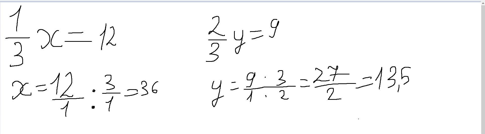
А)1/3 х=12
б)2/3 у =9
в)-4х=1/7
г) 5у=-5\8
д)1/6у=1/3
е) 2/7 =0​

Ответы

Ответ дал: DeloyKun
1

Ответ:

Последний пример ты не дописал

Объяснение:

Приложения:

ryakubova98: нет там так и написано
ryakubova98: вроде дописала
DeloyKun: значит опечатка
ryakubova98: угу спасиб
Вас заинтересует