Ответы
Ответ дал:
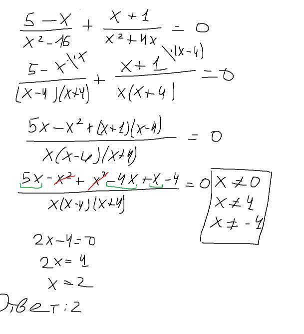
2
Ответ:
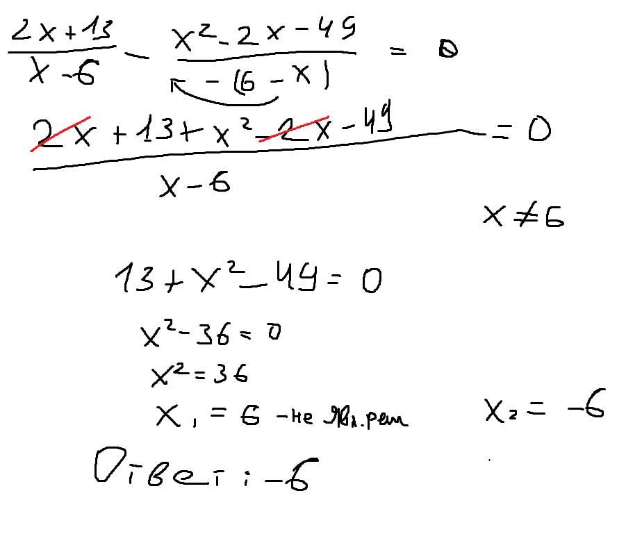
В первом задании из ОДЗ следует, что 6 не является ответом.
Объяснение:
Приложения:


Вас заинтересует
1 год назад
1 год назад
1 год назад
3 года назад
3 года назад
8 лет назад