Ответы
Ответ дал:
0
Постарался максимально подробно и понятно расписать. Если будут вопросы, то пиши
Приложения:

Petia228:
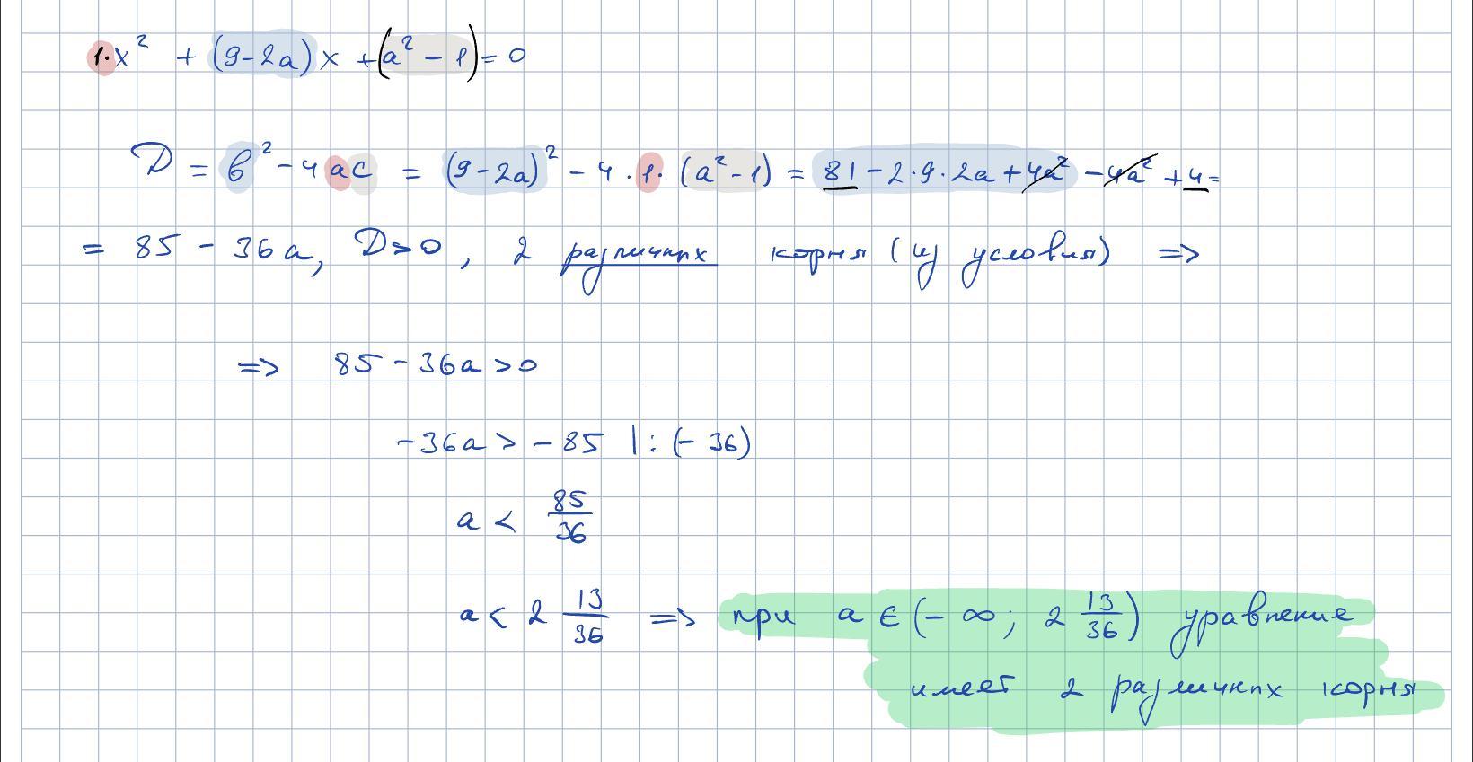
D>0, тк 2 различных корня нам надо; если бы было написано просто 2 корня, то в теории можно было бы написать D >=0, потому что при D = 0 мы получаем 2 равных/одинаковых корня
Вас заинтересует
1 год назад
1 год назад
1 год назад
3 года назад
3 года назад
8 лет назад