• Предмет: Математика
  • Автор: grivadenis560
  • Вопрос задан 2 года назад

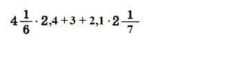
Помогите пожалуйста 6 класс​

Приложения:

karolina0120: 35–2
karolina0120: 35 сверху снизу 2

Ответы

Ответ дал: fafa091371
1

Ответ:

25/6×2.4+3+2,1×15/7=25/6×24/10+3+21/10×15/7=20/2+3+9/2=10+3+4,5=17,5

Вас заинтересует