Ответы
Ответ дал:
1
Ответ:
ответ должен иметь больше 20 символов, перед отправкой, поэтому пишу хоть что-то..
Объяснение:
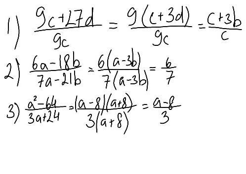
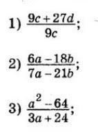
объяснение на слайде
Приложения:

Вас заинтересует
1 год назад
1 год назад
1 год назад
2 года назад
2 года назад
8 лет назад