• Предмет: Алгебра
  • Автор: nastymi33
  • Вопрос задан 2 года назад

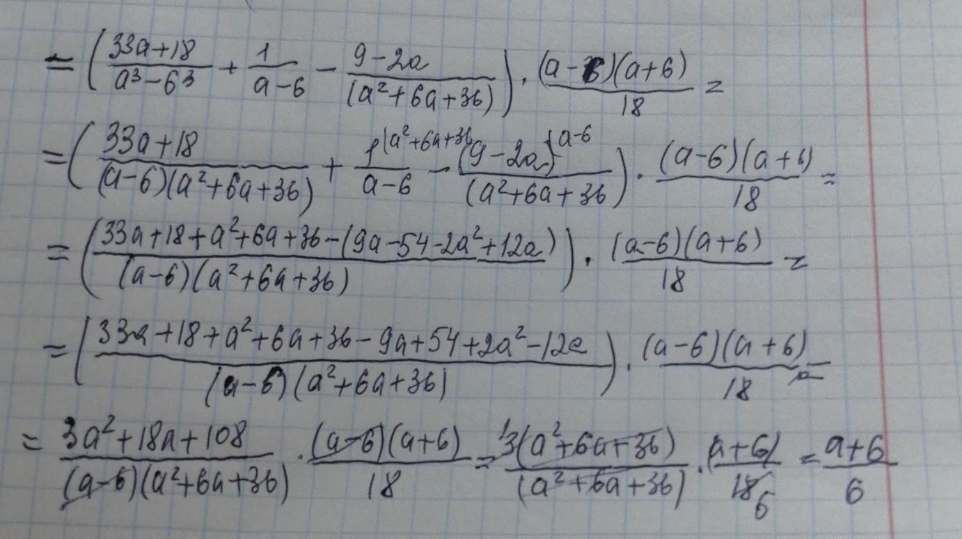
Помогите пожалуйста пример

Приложения:

Ответы

Ответ дал: ludmilaksenija2005
0

Объяснение:

решение на фото аааааааааа

Приложения:
Вас заинтересует