• Предмет: Математика
  • Автор: violagetz
  • Вопрос задан 2 года назад

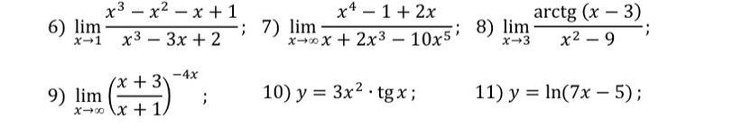
Решить пределы с 6 по 11

Приложения:

Ответы

Ответ дал: HSS9860
1

Ответ:

7. \ 0; \ 8. \ \frac{1}{6} ; \ 9. \ e^{-8}.

Пошаговое объяснение:

посмотрите решение для трёх.
Похоже, что в №6 ошибка старшей степени знаменателя, а №№10-11 не являются по условию пределами.

Приложения:
Вас заинтересует