• Предмет: Математика
  • Автор: bogdankislica204
  • Вопрос задан 2 года назад

Помогите пожалуйста

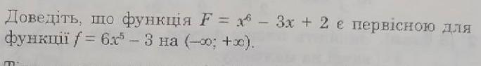
Доведіть, що функція F = x^2 - 3x + 2 е первісною для функції f = 6x^5 - 3 на (-безк. +безк. ).​

Приложения:

Ответы

Ответ дал: tarco3
1

Ответ:

Пошаговое объяснение:

Если взять неопределенный интеграл от функции f=6x^5-3, то он будет равен S=(6x^(5+1))/6 - 3x + C , где С - константа, т.е любое число, в т.ч это может быть число 2. => F=X^2-3x+2 -первообразная, т.е результат интегрирования для ф-ции f=6x^5-3


bogdankislica204: Спасибо)
Вас заинтересует