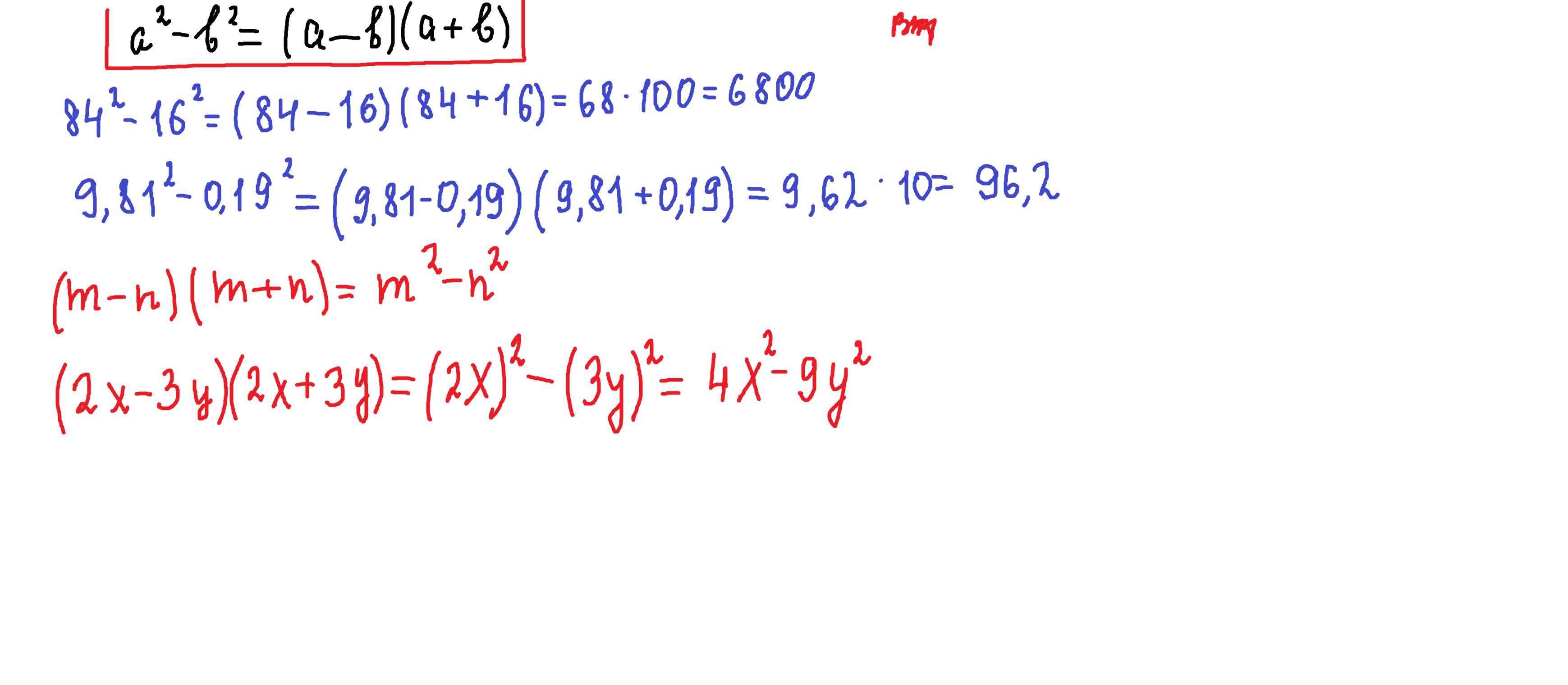
№1) Обчисліть використувуючи формулу
84²₋16₂ =......
№2) Обчисліть використовуючи формулу
(9.81)²-(0.19)²=......
№3) (m-n)(m+n)=.......
№4) (2х-3у)(2х+3у)=......... ( ДАМ 100 б. тому, хто ответит на все вопроси)
sonkamandarunka1243:
Не ожидала тут увидеть свою одноклассницу я тоже ищу ответы))
Ответы
Ответ дал:
5
Ответ:
Объяснение:
решение внизу, формула там же
Приложения:

Вас заинтересует
1 год назад
1 год назад
1 год назад
1 год назад
3 года назад
8 лет назад