• Предмет: Геометрия
  • Автор: dmitryhitry
  • Вопрос задан 10 лет назад

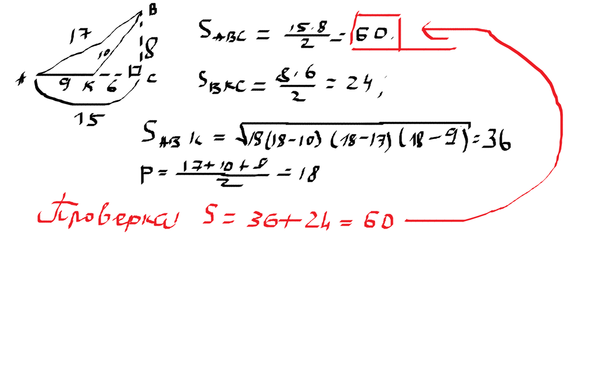
Найдите площадь треугольника, изображенного на рисунке 

Приложения:

Ответы

Ответ дал: Аноним
0
Решение во вложениях))))))))))))))))))))))
Приложения:
Ответ дал: Аноним
0
Площадь = высота * основание* 1/2,
высота у нас = 8, основание = 9

значит площадь = 8 * 9 * 1/2 = 9 * 4 = 36 
Приложения:
Вас заинтересует