• Предмет: Алгебра
  • Автор: MDTHD68
  • Вопрос задан 2 года назад

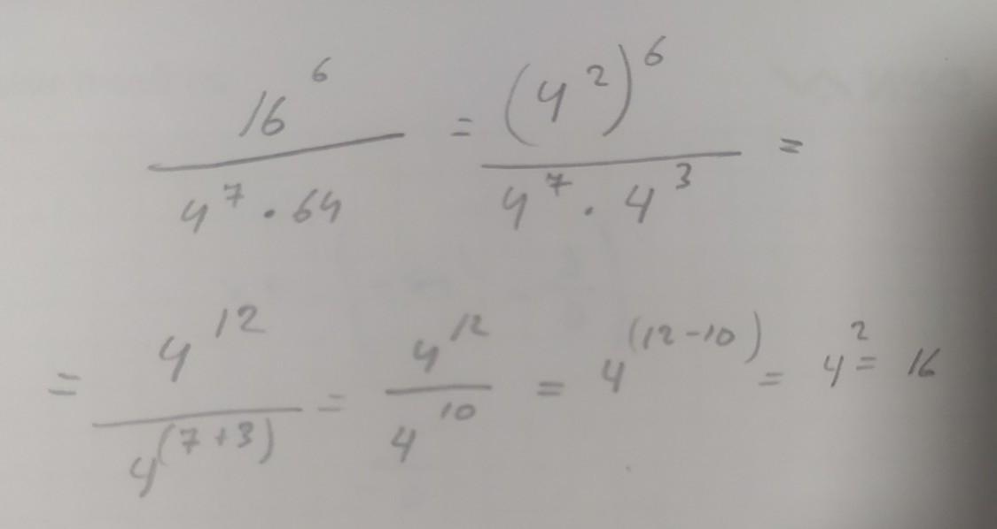
Помогите, пожалуйста, задание на фото (скажите с объяснением)​

Приложения:

Ответы

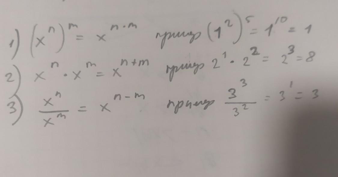
Ответ дал: ebojeboj1
2

Это основа правил степеней

Эта задачка очень проста, ты просто не знаешь свойства степеней.

Приложения:

MDTHD68: кстати ты откуда?
MDTHD68: просто хочу понять мне нужно перевести или нет
ebojeboj1: Окей шяс решу
ebojeboj1: Знаешь где родина национального блюда "Плов"
MDTHD68: Ты узбек, афганистанец, таджик или туркмен?
MDTHD68: а или азербайджанец?
ebojeboj1: ахаха
ebojeboj1: Живу в Узбекистане
ebojeboj1: Но нация другая
MDTHD68: какая?
Вас заинтересует