• Предмет: Математика
  • Автор: sashakach02
  • Вопрос задан 2 года назад

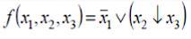
найти СКНФ СДНФ функции

Приложения:

sashakach02: нужно записать в виде СКНФ СДНФ

Ответы

Ответ дал: golovaleksandr487
1

1

_

2

Пошаговое объяснение:

легко и просто очень простой пример


sashakach02: нужно записать в виде СКНФ СДНФ
Вас заинтересует