• Предмет: Математика
  • Автор: Аноним
  • Вопрос задан 2 года назад

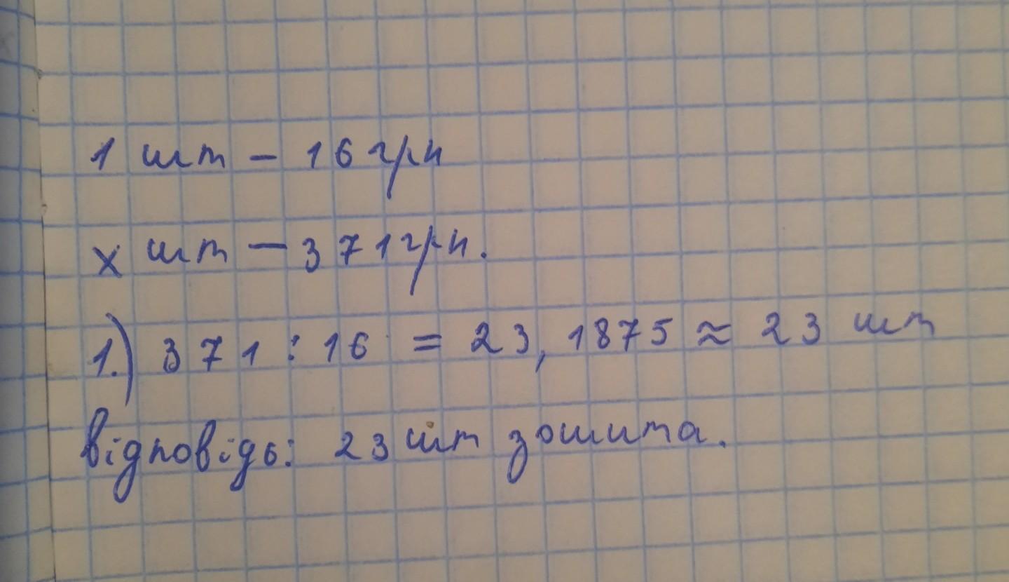
Зошит коштує 16 грн. Скільки зошитів можна купити за 371 грн? Пошаговоє решениє?

Ответы

Ответ дал: 2006gamaua
1

Ответ:

23 зошитів. Ответ на фотографії і решение тоже

Приложения:
Ответ дал: marihkha
0

Ответ:

Відповід на фото......

Приложения:
Вас заинтересует