• Предмет: Физика
  • Автор: kritike2510
  • Вопрос задан 2 года назад

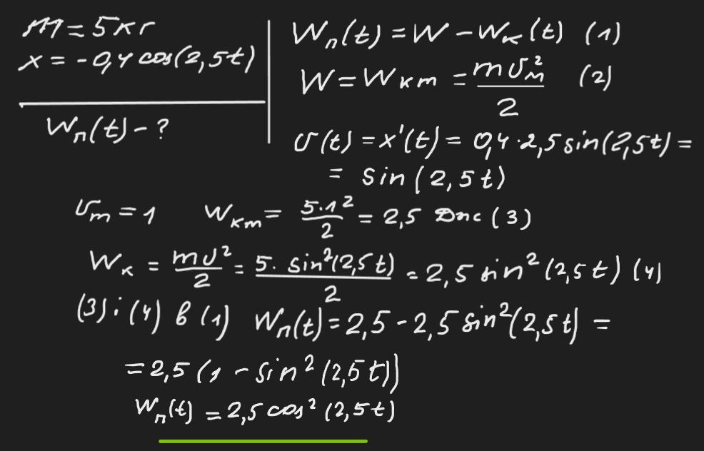
Тіло масою 5 кг коливається відповідно до указаного рівняння. x= - 0,4cos(2,5t). За яким законом змінюється потенціальна енергія тіла?

Ответы

Ответ дал: zybkov1950
1

Відповідь: Див. додаток

Пояснення:

Приложения:

kritike2510: Велике дякую, але мені потрібен графік
kritike2510: Я можу скинути фото
Вас заинтересует