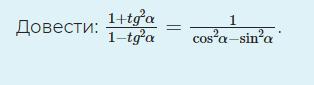
!!!ПОМОГИТЕ!!!
!!!ПОЖАЛУЙСТА!!!
Приложения:

qdaw12314:
Який саме?
мав би бути нагрівач але не виходить 11 букв
дам підказку по завданню
в першому виразі числівник і знаменник домножте на косинус в квадраті
Ответы
Ответ дал:
1
Відповідь:
у вкладенні
Приложения:

Вас заинтересует
1 год назад
1 год назад
1 год назад
3 года назад
8 лет назад
8 лет назад