• Предмет: Математика
  • Автор: thalikov256
  • Вопрос задан 2 года назад

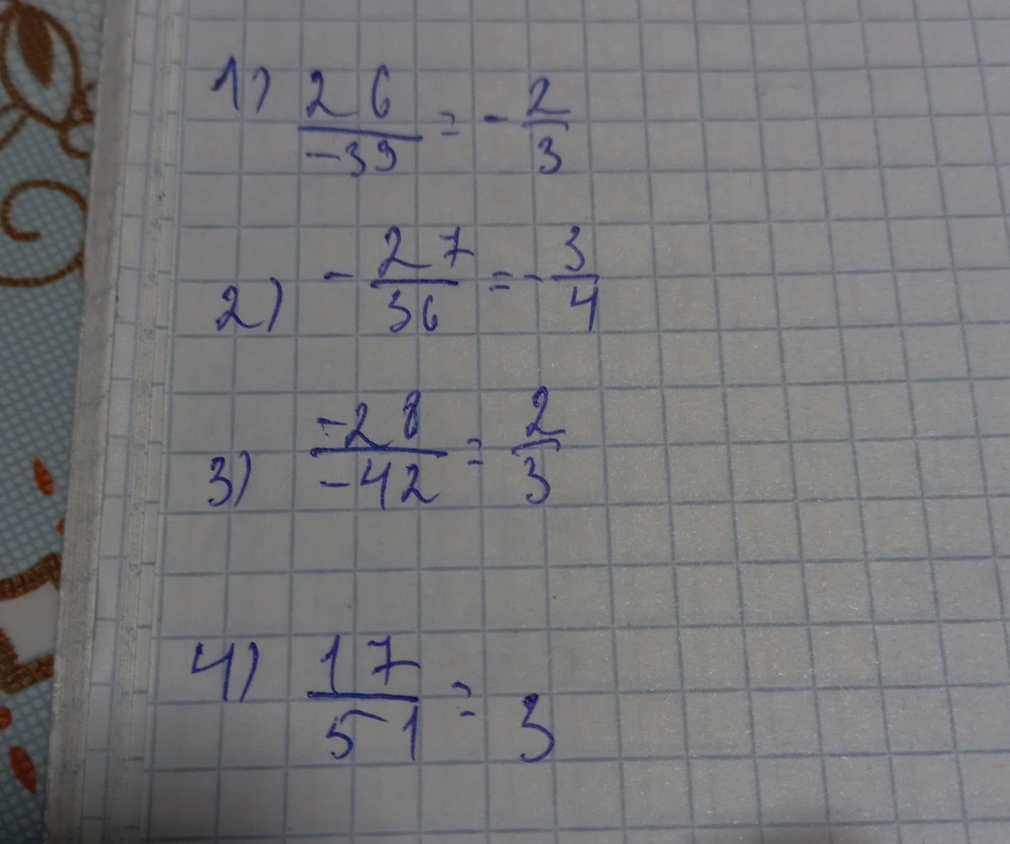
Помогите скратите так чтобы знаментель был положительный 1) 26/-39 2) -27/36 3) -28/-42 4) 17/51 пжпжпжпжпжпжппжпжпжжпжпжпжпжпжпжпжпж

Ответы

Ответ дал: kambarzangar0
1

Ответ:

1) -2/3

2) -3/4

3) 2/3

4) 3

Пошаговое объяснение:

подробное решение показано на фото, отметь пж как лучший ответ

Приложения:

thalikov256: Спосибо
Вас заинтересует