• Предмет: Геометрия
  • Автор: miwamar4uk
  • Вопрос задан 2 года назад

СРОЧНО!!! ДАЮ 50 БАЛЛОВ!!!
Діагональ BD1 прямокутного паралелепіпеда ABCDA1B1C1D1 дорів­нює d, діагональ AD1 грані дорівнює b. Знайдіть АВ.

Приложения:

Ответы

Ответ дал: CoolerPokerFace
0

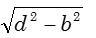
Ответ:

\sqrt{d^{2}-b^{2}}

Объяснение:


CoolerPokerFace: Я знаю потому что ответ не так, хотя бы ответы потом показывает.
Вас заинтересует