• Предмет: Химия
  • Автор: ilaffyvashie
  • Вопрос задан 2 года назад

молю, помогите! молю, допоможіть!

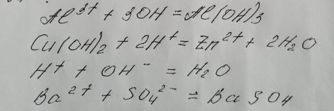
За наведеними рівняннями реакцій у скороченій йонній формі складіть рівняння в молекулярній формі:

Приложения:

Ответы

Ответ дал: Iren245
1

Ответ:

1) AICI3 + 3NaOH = AI(OH)3 + 3NaCI;

2) Cu(OH)2 + H2SO4 = CuSO4 + 2H2O;

3) NaOH + HCI = NaCI + H2O;

4) BaCI2 + H2SO4 = BaSO4 + 2HCI.


ilaffyvashie: спасибо большое! вы лучший
Iren245: Не за что, обращайтесь))
Вас заинтересует