• Предмет: Алгебра
  • Автор: bezuglova0yankaaaa
  • Вопрос задан 10 лет назад

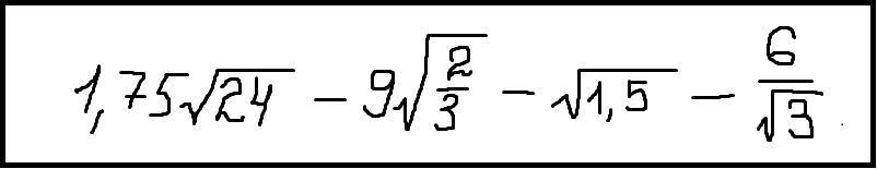
Упростите выражение пожалуйста на рисунке)) в ответе должно получиться: -2√3

Приложения:

Ответы

Ответ дал: mmb1
0
=============================
Приложения:
Вас заинтересует