• Предмет: Физика
  • Автор: ianusikme
  • Вопрос задан 2 года назад

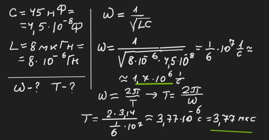
1. Коливальний контур складається з конденсатора ємністю 45 нФ і котушки з індуктивністю 8 мкГн. Визначте циклічну частоту й період вiльних електромагнітних коливань у цьому контурі.​

Ответы

Ответ дал: zybkov1950
7

Відповідь: Див. додаток

Пояснення:

Приложения:

Аноним: Допоможи із задачами
Аноним: Допоможи розв'язати задачі
Аноним: Допоможіть будь-ласка з фізикою, там все по 50 балів в моєму профілі
ianusikme: дякую)
egorvladov831: если вы понимаете алгебру не могли бы вы мне помочь пожалуйста
Вас заинтересует