• Предмет: Математика
  • Автор: Аноним
  • Вопрос задан 2 года назад

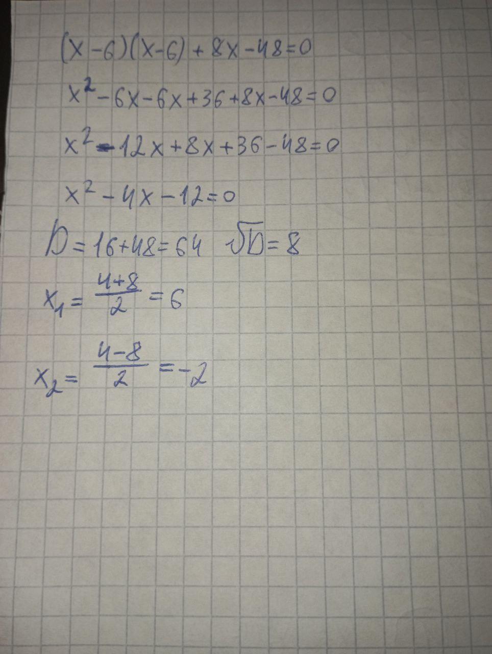
Знайдіть суму коренів рівняння (х - 6)(х - 6) + 8х - 48 = 0.


Аноним: ДАЮ 50 БАЛІВ

Ответы

Ответ дал: ktoeto65
3

(x-6)(x-6)+8x-48=0

(x-6)²+8x-48=0

(x-6)²+8(x-6)=0

(x-6)(x-6+8)=0

(x-6)(x+2)=0

КОРНИ:

x-6=0

x=6 - первый корень

x+2=0

x=-2 - второй корень

СУММА: 6+(-2)= 6-2=4

Ответ: 4


Аноним: дякую, перевірю і залишу відгук
Ответ дал: GlebTT
2

Ответ: 4

Пошаговое объяснение: фото + пример (-2+6)=4 - сума корней, не дочитал условие)

Приложения:

Аноним: дякую і тобі
GlebTT: если не трудно, поставь спасибо и 5 балов)
Аноним: ок, только я проверю и сразу поставлю
Вас заинтересует