• Предмет: Математика
  • Автор: leralapanovska
  • Вопрос задан 2 года назад

Срочно будьласка допоможіть !!

Приложения:

Ответы

Ответ дал: dashulka22222
1

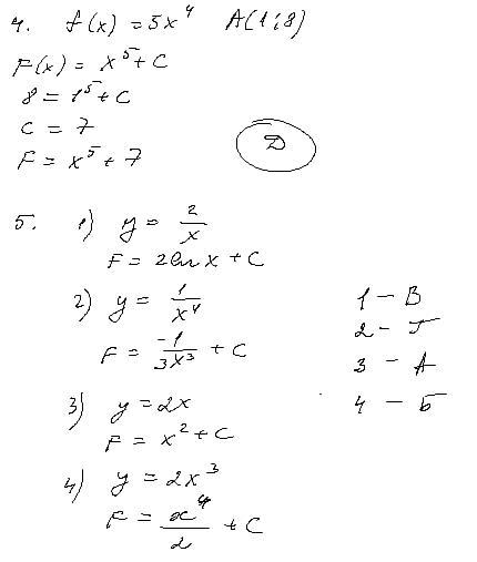
Відповідь:

Покрокове пояснення:

Приложения:
Вас заинтересует