• Предмет: Алгебра
  • Автор: nazarsav14235
  • Вопрос задан 2 года назад

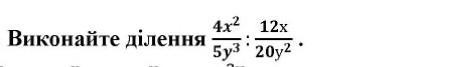
Помогите срочно!!!!!!!!!!!!!​

Приложения:

Ответы

Ответ дал: 04062017
0

Объяснение:

если я правильно поняла, то решается именно так

Приложения:
Вас заинтересует