СРОЧНО !!!!!! даю 100 балов
помогите пожалуйста
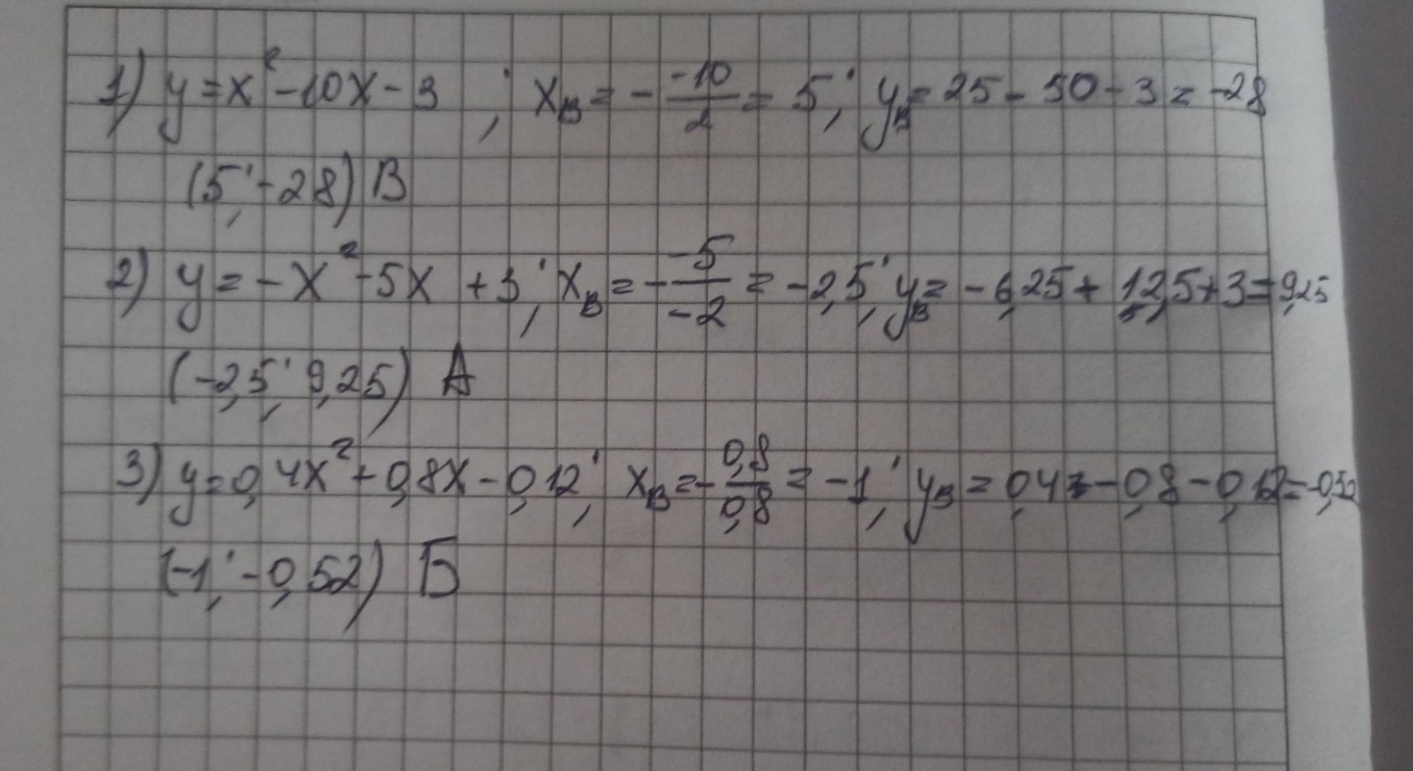
3. Установити відповідність між квадратичною функцією та координатами
вершини параболи
1) у=х 2 -10х-3 2) у= -х 2 -5х+3 3) у=0,4х 2 +0,8х-0,12
а) (-2,5; 9,25) б) (-1;-0,52) в) (5;-28)
Ответы
Ответ дал:
1
Объяснение:
1 В
2 А
3 Б
..................
Приложения:

Вас заинтересует
1 год назад
1 год назад
1 год назад
3 года назад
3 года назад