• Предмет: Математика
  • Автор: 223rfaf
  • Вопрос задан 2 года назад

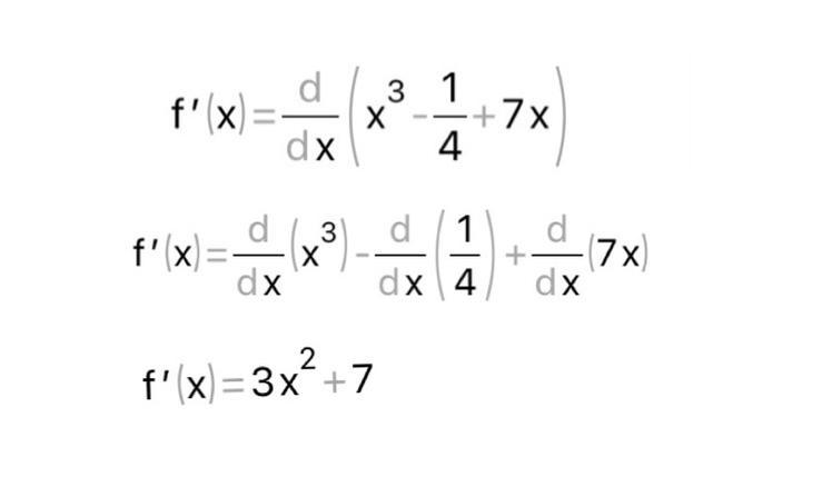
f(x)=x^3-(1\2)^2+7x найдите производную функции

Ответы

Ответ дал: kravcenkonasta221
0

Пошаговое объяснение:

есле не понятно: 7(х)= 2/3 х ³ - х ² - 7 х

7 (х)= 2/3×3 х ² - 2×х - 7 = х ² - 2 х - 7

Приложения:
Ответ дал: avanigregg10
0
поставьте лайк пожалуйста
Приложения:
Вас заинтересует