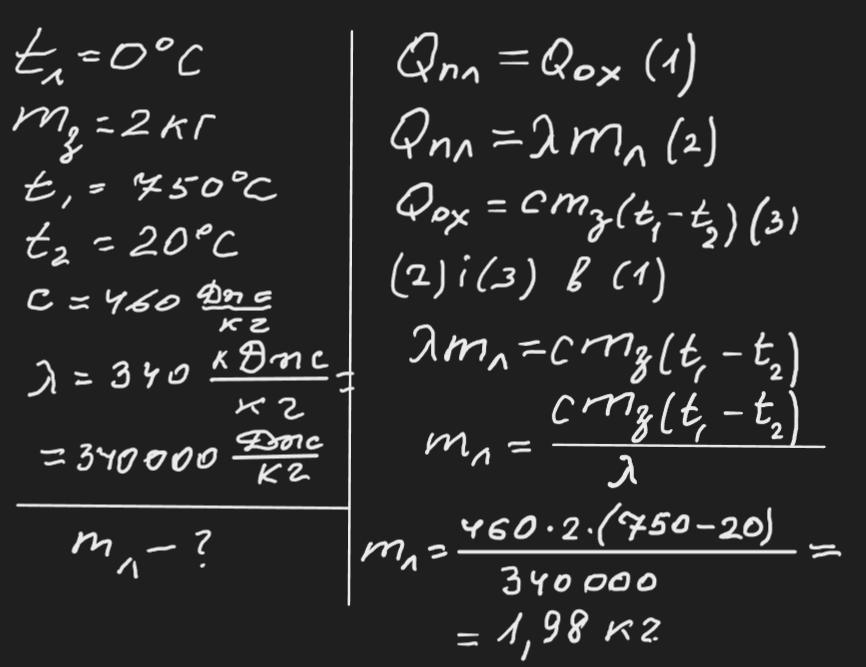
Яка кількість льоду, взятого за 0°С, розплавиться при охолодженні залізної деталі масою 2 кг від 750°С до 20°С? Вважати, що вся теплота, що виділилася при охолодженні деталі, йде на плавлення льоду. Питома теплоємність заліза 460
Дж/кг°С, питома теплота плавлення льоду 340 кДж/кг.
Ответы
Ответ дал:
1
Відповідь: ≈ 1,98 кг
Пояснення:
Приложения:

yulia5854263:
Огромное спасибо
Вас заинтересует
1 год назад
1 год назад
3 года назад
3 года назад