• Предмет: Математика
  • Автор: DimaWerxxxx
  • Вопрос задан 2 года назад

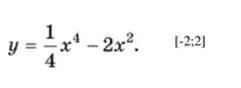
памагите ! Знайти найменше і найбільше значення функції на відрізку [-2; 2]

Приложения:

Ответы

Ответ дал: zorabajdiana
0

Ответ:

 - 2 \div 2 = 0.2

Вас заинтересует