Допоможіть будь ласка це контрольна робота з алгебри потрібно було здати сьогодні пожалуста 2 варіант
Приложения:

Ответы
Ответ дал:
1
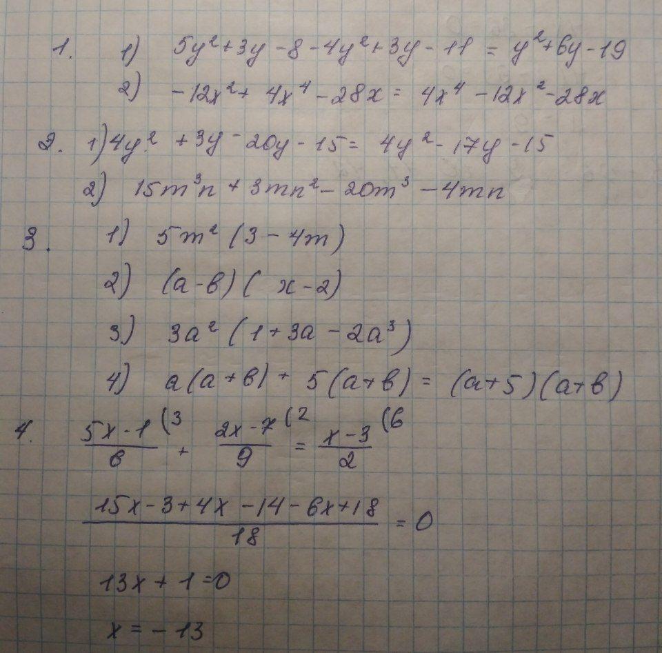
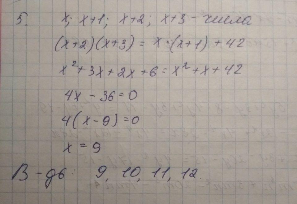
Пояснення на фото.........
Приложения:


ll7674472:
Дуже дякую
Вас заинтересует
1 год назад
1 год назад
1 год назад
3 года назад
3 года назад
8 лет назад