• Предмет: Алгебра
  • Автор: loloTRY
  • Вопрос задан 10 лет назад

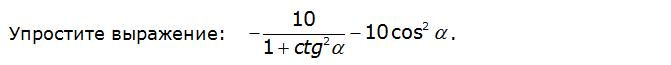
пожалуйста помогите)) варианты ответов 1)1
2)-100
3)100
4)-10

Приложения:

Ответы

Ответ дал: 164502il
0
=-10sin^2-10cos^2=-10
ответ номер 4
Ответ дал: mailforazi
0
- frac{10}{1+ctg^2 alpha } -10cos^2 alpha = -frac{10}{1+ frac{cos^2 alpha }{sin^2 alpha } } -10cos^2 alpha = \  \ =- frac{10sin^2 alpha }{sin^2 alpha +cos^2 alpha } -10cos^2 alpha =- 10sin^2 alpha -10cos^2 alpha = \  \ =-10(sin^2 alpha +cos^2 alpha )=-10

Ответ: 4) -10
Вас заинтересует