• Предмет: Алгебра
  • Автор: Vikulekpytkova
  • Вопрос задан 10 лет назад

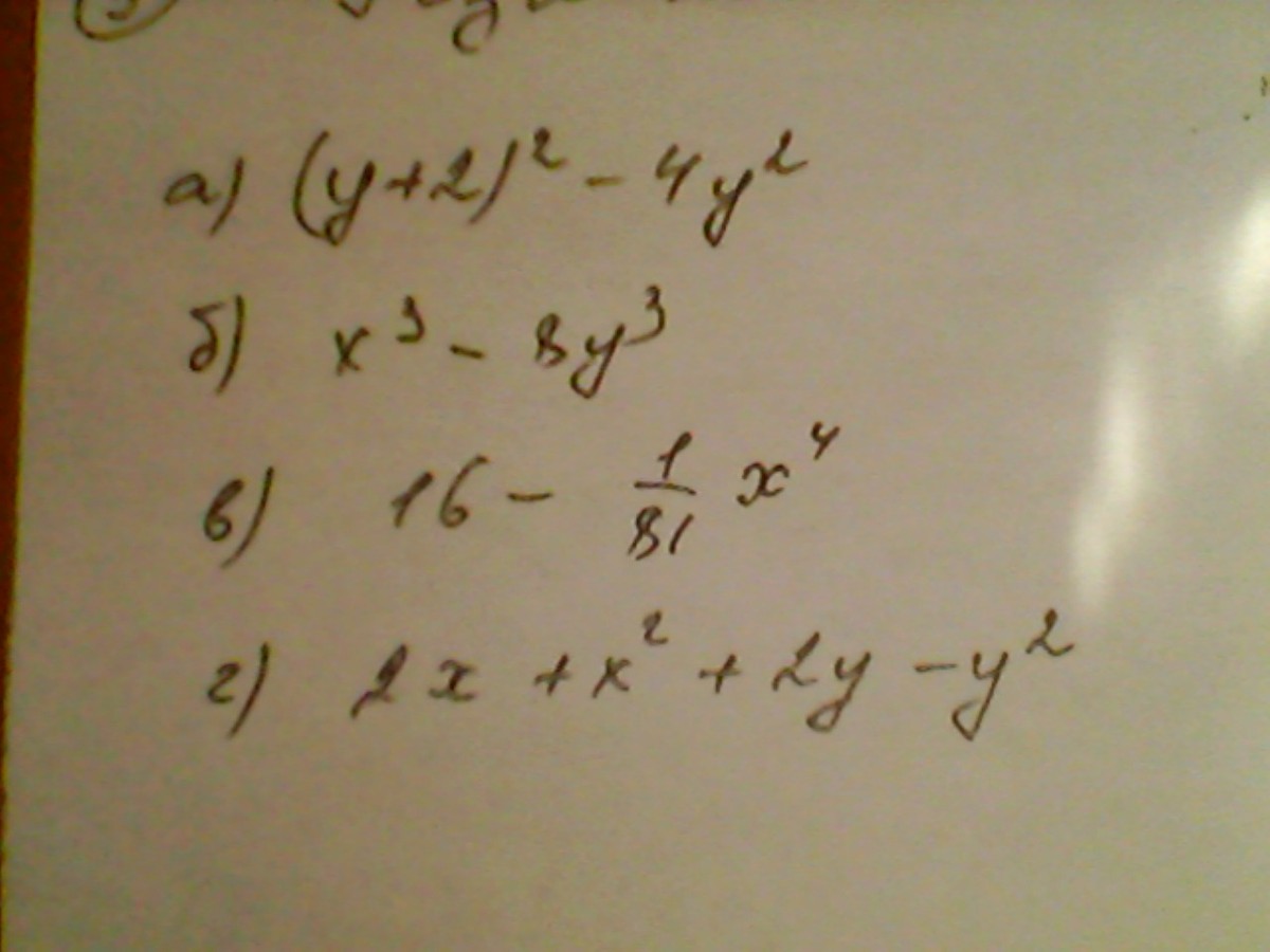
мне очень надо сделать эти задания:

Приложения:

Ответы

Ответ дал: lijasattarova
0
(x+4)^2 = x^2 + 8x + 16
Вас заинтересует