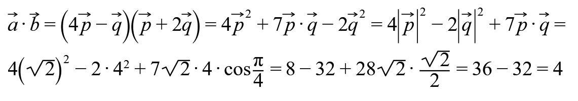
Обчислити скалярний добуток a * b, якщо a = 4p - q, b = p + 2q, |p| = корінь з 2, |q| = 4, (p,^q) = число П / 4
Приложения:

Ответы
Ответ дал:
0
Ответ:
4
Пошаговое объяснение:
/////////////////////////////////////////
Приложения:

danya111839:
здравствуйте! можете помочь с вопросами по алгебре у меня в профиле, пожалуйста
Вас заинтересует
1 год назад
1 год назад
1 год назад
3 года назад
3 года назад