• Предмет: Математика
  • Автор: nkartseva0609
  • Вопрос задан 2 года назад

Помогите мне с математикой :__) Даю 10 балов .

За ранее спасибо ^^

Приложения:

Ответы

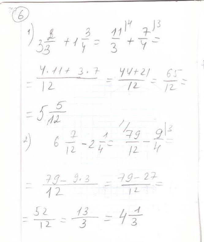
Ответ дал: slava23yasya
1

Відповідь:

Покрокове пояснення:

6 на листку. 1 та  2 там розв'язання дій в скобках, а на першому листку сама дія з відповіддю.
7 також на листку

Приложения:

nkartseva0609: спасибо большое^^
Вас заинтересует