• Предмет: Математика
  • Автор: nikitabors543
  • Вопрос задан 2 года назад

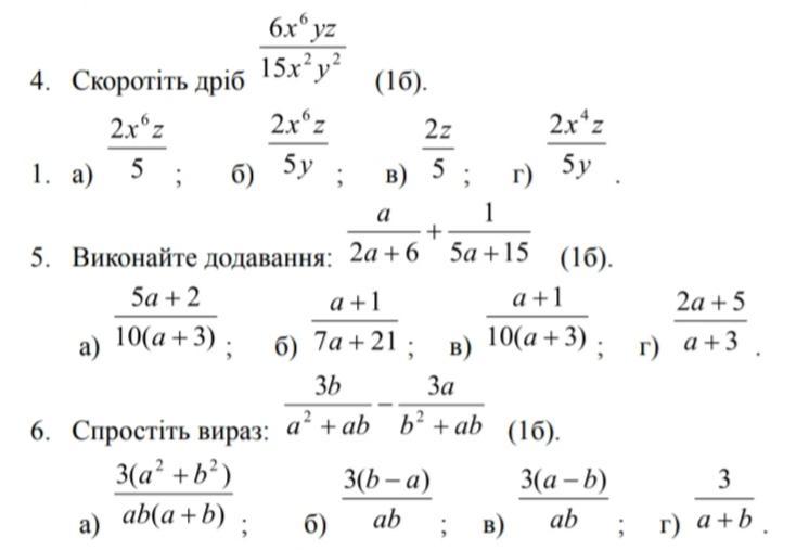
Допоможіть будь ласка

Приложения:

Ответы

Ответ дал: Аноним
1
1. Г
2. А
3. В
Вот ответы
……..()()()()()

nikitabors543: спасибо но можно до 6го и мне нужно розвязание
nikitabors543: спосибо не так понял задачу
Аноним: Не могу добавить ответ
Ответ дал: polina2018mi
1
1-г
2-в
3-а
Это легко учись

nikitabors543: спосибо) если може(ш-те) посмотри(те) у меня есть номера 7,8,9 их я не могу понять
nikitabors543: Дякую але я закрив у 2 буде а
nikitabors543: Коректую у 2 буде (а) я перевірив
Вас заинтересует