• Предмет: Геометрия
  • Автор: melnikira605
  • Вопрос задан 2 года назад

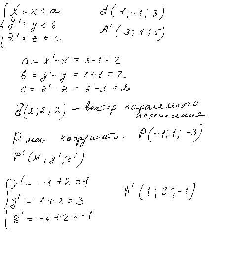
При паралельному перенесенні точка А(1;-1;3) переходить у точку (3;1;5). В яку точку, при цьому ж паралельному перенесенні, переходить точка Р, що симе-трична точці А відносно початку координат?.

Ответы

Ответ дал: dashulka22222
1

Відповідь:

Пояснення:

Приложения:

melnikira605: ДЯКУЮ
dashulka22222: будь ласка
Вас заинтересует