• Предмет: Геометрия
  • Автор: melnikira605
  • Вопрос задан 2 года назад

ДУЖЕ ДУЖЕ ДУЖЕ ДУЖЕ ДУЖЕ ПРОШУ ДОПОМОЖІТЬ!!!!!!!!!!!!


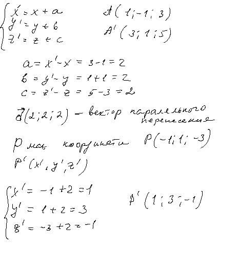
При паралельному перенесенні точка А(1;-1;3) переходить у точку (3;1;5). В яку точку, при цьому ж паралельному перенесенні, переходить точка Р, що симе-трична точці А відносно початку координат?.

Ответы

Ответ дал: dashulka22222
0

Відповідь:

Пояснення:

Приложения:
Вас заинтересует