• Предмет: Физика
  • Автор: siouxx
  • Вопрос задан 2 года назад

!!!!СРОЧНО!!!ДАЮ 100 БАЛОВ!!!
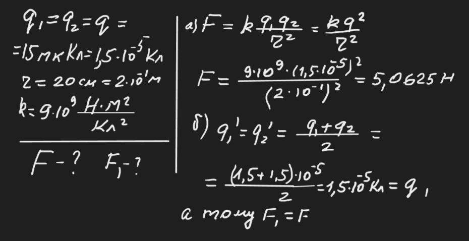
Два однакових за розмірами тіла мали заряди q=15 мкКл та знаходилася на віддалі 20 см одне від одного в повітрі

а) обчисліть з якою силою взаємодіятимуть тіла?
б) якою стане сила взаємодії,якщо тіла доторкнуться одне до одного і розсунути на попередню відстань?Як зміниться сила взаємодії в порівнянні з початковою?​

Ответы

Ответ дал: zybkov1950
2

Відповідь: а)5,0625 Н  б)  сила взаємодії в порівнянні з початковою не зміниться

Пояснення:

Приложения:
Вас заинтересует