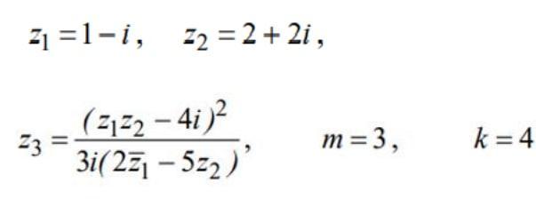
Допоможіть прошу дуже потрібно! Для заданих чисел z1 та z2 виконати вказані дії:
a) Знайти значення z3;
б) Числа z1 та z2 записати в показниковій та тригонометричній формах;
в) Для числа z1 знайти всі корені степеня m;
г) число z2 піднести до степеня k;

Ответы
a) Знайти значення z₃
Первым делом вспомним , что для число
является комплексно-сопряженным числом
Поэтому :
Теперь находим z₃ , подставив
б) Числа z₁ та z₂ записати в показниковій та тригонометричній формах
*Находим тригонометрическую форму для z₁ = 1 - i :
Находим показательную форму :
**Находим тригонометрическую форму для z₂ = 2 + 2i :
Находим показательную форму :
в) Для числа z₁ знайти всі корені степеня m
Смотрим на тригонометрический вид числа
Теперь воспользуемся формулой:
где k = 0 , 1 , 2 , ... , n -1
В нашем случае r = √2 , n = 3 , , число корней равно 3-м
Первый корень :
Подставляем k = 0
Второй корень :
Подставляем k = 1
Третий корень :
Подставляем k = 2
г) Число z₂ піднести до степеня k
Воспользуемся формулой Муавра :
Вычисляем смотря на тригонометрическую форму
Подставив значения мы получим :
#SPJ1