• Предмет: Математика
  • Автор: danillsereda1231
  • Вопрос задан 2 года назад

Пожайлуста решите иррациональное уравнение
Ответ будет 1 и 3 (1;3)
сделайте полное решение как получилось 1 из второго уравнения.

Приложения:

Ответы

Ответ дал: leprekon882
1

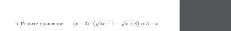
(x-3)\left(\sqrt{5x-1}-\sqrt{x+8}\right)=3-x

ОДЗ: выражения под корнем должны принимать неотрицательные значения, то есть:

\displaystyle \left \{ {{5x-1\geq 0} \atop {x+8\geq 0}} \right.~\Rightarrow~\left \{ {{x\geq \frac{1}{5}} \atop {x\geq -8}} \right.~\Rightarrow~ x\geq\frac{1}{5}

(x-3)\left(\sqrt{5x-1}-\sqrt{x+8}\right)+(x-3)=0

(x-3)\left(\sqrt{5x-1}-\sqrt{x+8}+1\right)=0

Находим один корень x_1=3

\sqrt{5x-1}-\sqrt{x+8}+1=0

\sqrt{5x-1}+1=\sqrt{x+8}

Возводим в квадрат обе части уравнения

5x-1+2\sqrt{5x-1}+1=x+8

2\sqrt{5x-1}=8-4x

\sqrt{5x-1}=4-2x

При условии 4-2x\geq 0 снова возведем обе части уравнения

5x-1=16-16x+4x^2

4x^2-21x+17=0

D=441-272=169;~~\sqrt{D}=13

x_2=\dfrac{21-13}{2\cdot 4}=1

x_3=\dfrac{21+13}{2\cdot 4}=4.25\notin условию 4-2x\geq 0

Ответ: 1 и 3.

Вас заинтересует