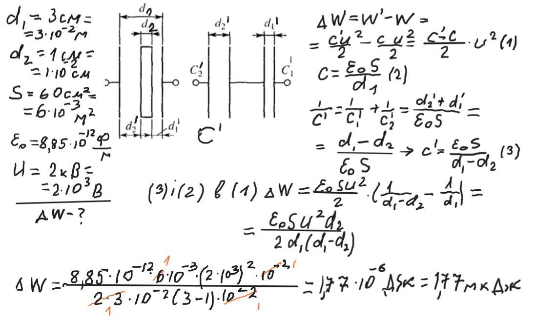
У плоский повітряний конденсатор з відстанню між обкладками d1 = 3 см і площею кожної обкладки S = 60 см2 внесено металеву пластинку товщиною d2 = 1 см. Визначте, яку енергію втратило джерело живлення при внесенні пластинки, якщо конденсатор під’єднаний до постійної напруги U = 2 кВ. Помогите
Ответы
Ответ дал:
1
Відповідь: 1,77 мкДж
Пояснення:
Приложения:

Вас заинтересует
1 год назад
1 год назад
1 год назад
3 года назад
8 лет назад