• Предмет: Алгебра
  • Автор: nastyanastya1009
  • Вопрос задан 2 года назад

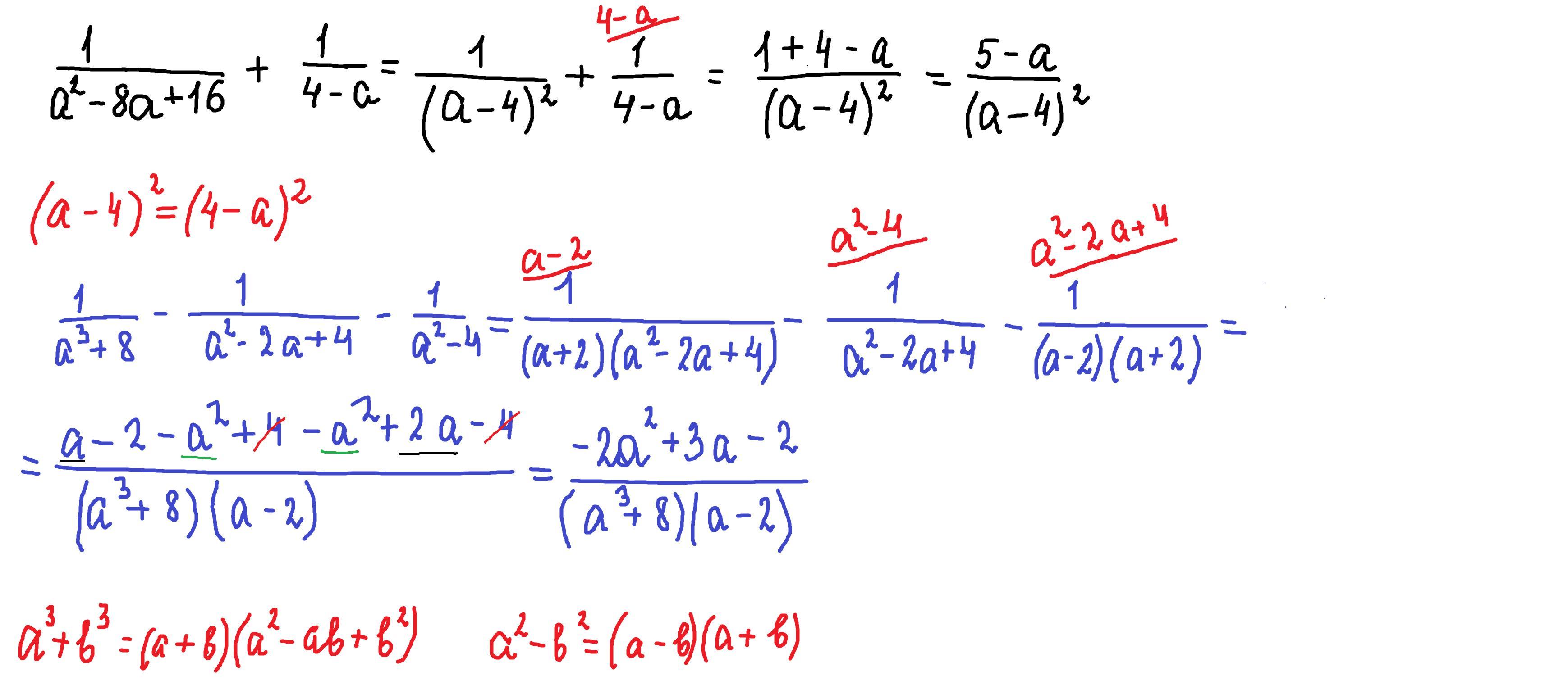
Помогите пожалуйста!!! Нужно срочно с объяснением!! Дам 80 балов

Приложения:

CoolerPokerFace: Рекомендую скачать приложуху Photomath.
CoolerPokerFace: Решает очень хорошо

Ответы

Ответ дал: parus77
1

Ответ:

Объяснение:

решение и формулы внизу

Приложения:

CoolerPokerFace: Кстати можешь сказать если мой ответ правильный или же нет?
Вас заинтересует