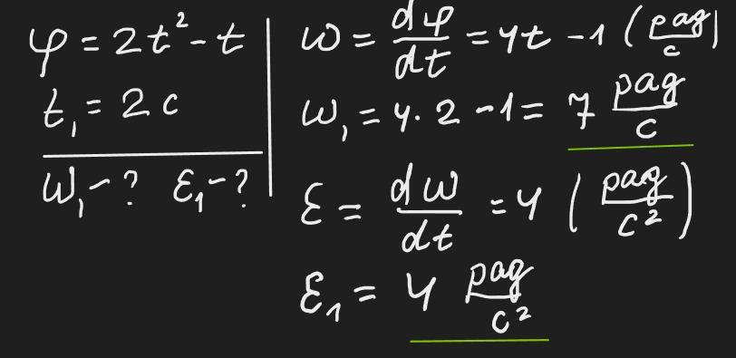
Диск починає обертатися навколо нерухомої осі, при цьому кут повороту j змінюється за законом: j=(2t2-t). Чому дорівнюють кутова швидкість і кутове прискорення диска через 2c ?
SQZMI:
У меня есть 1,5 часа на решение
Ответы
Ответ дал:
1
Відповідь: Див. додаток
Пояснення:
Приложения:
Это тип как тест а вот варианты ответа, помоги
1) 7 (1/c), 4 (1/с2);
2) 8 (1/c), 3 (1/с2);
3) 8 (1/c), 4 (1/с2);
4) 4 (1/c), 4 (1/с2);
5) 7 (1/c), 3 (1/с2).
1) 7 (1/c), 4 (1/с2);
2) 8 (1/c), 3 (1/с2);
3) 8 (1/c), 4 (1/с2);
4) 4 (1/c), 4 (1/с2);
5) 7 (1/c), 3 (1/с2).
Тест 12.5
Робота постійного моменту сил, що діє на тіло, що обертається при зміні кута повороту тіла дорівнює ...
1. М φ;
2. dМ dφ;
3. M φ2;
4. M dφ
Робота постійного моменту сил, що діє на тіло, що обертається при зміні кута повороту тіла дорівнює ...
1. М φ;
2. dМ dφ;
3. M φ2;
4. M dφ
Вот ещо одно
Для тебя оно как семки лускать
Главный мозг
))
Тест 12.6
Якщо тягарець, підвішений на пружині, здійснює гармонійні коливання за законом
x(t)=10π cos (5π t + π/4), то період таких коливань…
1) 0,2 с;
2) 300 мс;
3) 400 мс;
4) 8 с;
5) 4 с.
Якщо тягарець, підвішений на пружині, здійснює гармонійні коливання за законом
x(t)=10π cos (5π t + π/4), то період таких коливань…
1) 0,2 с;
2) 300 мс;
3) 400 мс;
4) 8 с;
5) 4 с.
Тест 12.7
Добротність системи, що коливається, можна визначити як…..
1. Q = 2π/λ;
2. Q = π/λ;
3. Q = Aрез/А0;
4. Q = π/β;
Добротність системи, що коливається, можна визначити як…..
1. Q = 2π/λ;
2. Q = π/λ;
3. Q = Aрез/А0;
4. Q = π/β;
помоги пожалуйста!
Вас заинтересует
2 года назад
2 года назад
2 года назад
2 года назад
3 года назад
3 года назад
9 лет назад