• Предмет: Алгебра
  • Автор: Аноним
  • Вопрос задан 2 года назад

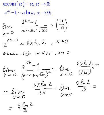
Обчислити границю, використовуючи еквівалентні функції.
Скриншот задания прикрепил ниже. Жду вашей помощи потому что очень срочно нужен ответ!

Приложения:

Ответы

Ответ дал: dashulka22222
0

Відповідь:

Пояснення:

Приложения:
Вас заинтересует